Maurício C. de Oliveira
Chapter 3: Transfer-Function Models
linearcontrol.info/fundamentals
\[\begin{align*} \label{eq:laplace} F(s) &= \mathcal{L} \{ f(t) \} = \int_{0^-}^{\infty} f(t) \, e^{-s t} \, dt \end{align*}\]
\[\begin{align*} f(t) &= 1 & F(s) &= \int_{0^-}^{\infty} e^{-s t} \, dt = \left . \frac{- e^{-s t}}{s} \right |_{0^-}^\infty = 0 - \frac{-1}{s} = \frac{1}{s}, \qquad \operatorname{Re}(s) > 0 \end{align*}\]
\[\begin{align*} \operatorname{Re}(s) > \alpha_c = 0 \end{align*}\]
\[\begin{align*} \mathcal{L}^{-1} \{ F(s) \} &= \frac{1}{2 \pi j} \lim_{\omega \rightarrow \infty} \int_{\alpha - j \omega}^{\alpha + j \omega} F(s) \, e^{s t} \, ds, & \alpha > \alpha_c \end{align*}\]
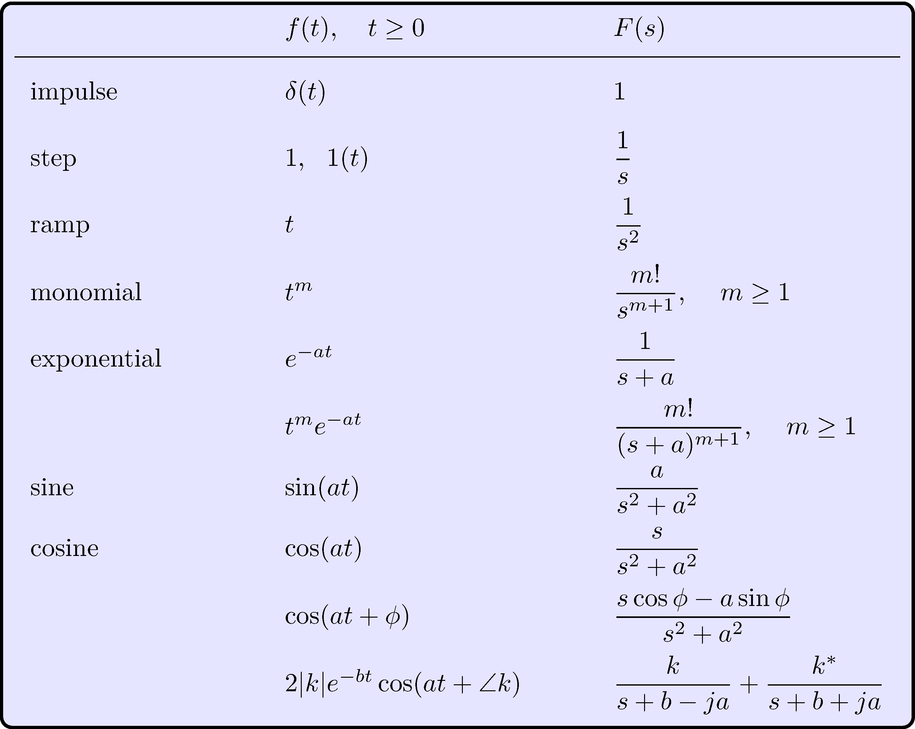
See book for a lot more!


\[\begin{align*} y(t) = G(u(t),t) \end{align*}\]
\[\begin{align*} y_1(t) &= G(u_1(t),t), & y_2(t) &= G(u_2(t),t), & y(t) &= G(\alpha_1 \, u_1(t) + \alpha_2 \, u_2(t), t) = \alpha_1 \, y_1(t) + \alpha_2 \, y_2(t) \end{align*}\]
\[\begin{align*} y(t) &= G(u(t),t), & y(t, \tau) &= G(u(t - \tau),t) = y(t - \tau) \end{align*}\]
\[\begin{align*} u(t) &= \int_{-\infty}^\infty \! u(\tau) \, \delta(t - \tau) \, d\tau = \int_{0^-}^t \! u(\tau) \, \delta(t - \tau) \, d\tau, & u(t) &= 0, \quad t < 0 \end{align*}\]
\[\begin{align*} y(t) &= \int_{0^-}^\infty u(\tau) \, g(t, \tau) \, d\tau = \int_{0^-}^\infty g(t, \tau) \, u(\tau) \, d\tau, & g(t, \tau) &= G(\delta(t - \tau), t) \end{align*}\]
\[\begin{align*} g(t, \tau) &= 0, \quad t < \tau & & \implies & y(t) &= \int_{0^-}^t g(t, \tau) \, u(\tau) \, d\tau \end{align*}\]
\[\begin{align*} g(t, \tau) &= g(t - \tau) = 0, \quad t < \tau & & \implies & y(t) &= \int_{0^-}^t g(t - \tau) \, u(\tau) \, d\tau \end{align*}\]
\[\begin{align*} Y(s) &= G(s) \, U(s), & U(s) &= \mathcal{L} \{ u(t) \}, & G(s) &= \mathcal{L} \{ g(t) \}, & Y(s) &= \mathcal{L} \{ y(t) \} \end{align*}\]
\(G\) is the transfer-function
\[\begin{align*} \dot{y}(t) + \frac{b}{m} \, y(t) - \frac{p}{m} u(t) &= \frac{p}{m} u(t) \end{align*}\]
\[\begin{align*} \mathcal{L} \left \{ \dot{y}(t) + \frac{b}{m} \, y(t) - \frac{p}{m} u(t) \right \} &= s Y(s) - y(0^-) + \frac{b}{m} Y(s) - \frac{p}{m} U(s) = 0 \end{align*}\]
\[\begin{align*} Y(s) &= G(s) \, U(s) + F(s) \, y(0^-), & G(s) &= \frac{\frac{p}{m}}{s + \frac{b}{m}}, & F(s) &= \frac{1}{s + \frac{b}{m}} \end{align*}\]
\[\begin{align*} g(t) &= \mathcal{L}^{-1} \left \{ \frac{\frac{p}{m}}{s + \frac{b}{m}} \right \} = \frac{p}{m} e^{-(\frac{b}{m})t}, \quad t \geq 0 \end{align*}\]
If \(f\) is analytic inside and on the the positively oriented simple closed countour \(C\) except at singular points \(p_k\), \(k = 1, \ldots, n\), inside \(C\) then \[\begin{align*} \int_{C} f(s) \, ds &= 2 \pi j \sum_{k = 1}^{n} \operatorname{Res}_{s = p_k} f(s) \end{align*}\]

\(\displaystyle f(s) = \frac{s - 1}{s (s + 1)}\)
\[\begin{align*} \frac{1}{2 \pi j} \int_{C_1} f(s) \, ds &= \operatorname{Res}_{s = 0} f(s) + \operatorname{Res}_{s = -1} f(s) \\ \int_{C_2} f(s) \, ds &= - \int_{C_1} f(s) \, ds \\ \int_{C_3} f(s) \, ds &= 0 \end{align*}\]

\[\begin{align*} t &> 0: & \lim_{\rho \rightarrow \infty} \int_{C^\rho_-} F(s) \, e^{s t} \, ds &= 0 & & \implies & \mathcal{L}^{-1}\{F(s)\} &= \frac{1}{2 \pi j} \lim_{\rho \rightarrow \infty} \int_{\Gamma_-^\alpha} F(s) \, e^{s t} \, ds \\ & & & & & & &= \sum_{k = 1}^{n} \operatorname{Res}_{s = p_k} \left (F(s) \, e^{s t} \right ) \\ t &< 0: & \lim_{\rho \rightarrow \infty} \int_{C^\rho_+} F(s) \, e^{s t} \, ds &= 0 & & \implies & \mathcal{L}^{-1}\{F(s)\} &= \frac{1}{2 \pi j} \lim_{\rho \rightarrow \infty} \int_{\Gamma_+^\alpha} F(s) \, e^{s t} \, ds = 0 \end{align*}\]
\[\begin{align*} \operatorname{Res}_{s = s_0} f(s) &= \int_{C \in D} f(s) \, ds, & D &= \{ s : 0 < |s - s_0| < R \} \end{align*}\]
\[\begin{align*} f(s) &= \frac{ g(s)}{(s - s_0)^m}, \quad g(s_0) \neq 0, \quad g \text{ is analytic at } s_0 \end{align*}\]
\[\begin{align*} \operatorname{Res}_{s = s_0} f(s) &= \begin{cases} g(s_0), & m = 1 \\[1ex] \displaystyle \frac{g^{(m -1)}(s_0)}{(m-1)!} , & m \geq 2 \end{cases} \end{align*}\]
\[\begin{align*} F(s) &= \frac{N(s)}{D(s)}, & & N, D \text{ are polynomials} \end{align*}\]
\[\begin{align*} & F \text{ is strictly proper} & & \implies & \mathcal{L}^{-1}\{F(s)\} &= \sum_{k = 1}^{n} \operatorname{Res}_{s = p_k} \left (F(s) \, e^{s t} \right ), \quad t \geq 0 \end{align*}\]
\[\begin{align*} F(s) \, e^{s t} &= \frac{ G(s)}{(s - p_k)}, & G(s) &= (s - p_k) \, F(s) \, e^{s t}, & G(p_k) &\neq 0 \end{align*}\]
\[\begin{align} \operatorname{Res}_{s=p_k} \left ( F(s) \, e^{s t} \right ) &= G(p_k) = k_k \, e^{p_k t}, & k_k &= \lim_{s \rightarrow p_k} (s - p_k) F(s) \end{align}\]
\[\begin{align*} \mathcal{L}^{-1}\{F(s)\} &= \sum_{k = 1}^{n} k_k e^{p_k t}, \quad t \geq 0 \end{align*}\]
\[\begin{align*} F(s) &= \mathcal{L} \left \{ \sum_{k = 1}^{n} k_k e^{p_k t} \right \} = \sum_{k = 1}^{n} k_k \mathcal{L} \left \{ e^{p_k t} \right \} = \sum_{k = 1}^{n} \frac{k_k}{s - p_k} \end{align*}\]
\[\begin{align*} u(t) &= \tilde{u} \, 1(t), & U(s) &= \frac{\tilde{u}}{s} \end{align*}\]
\[\begin{align*} Y(s) &= \frac{\tilde{u}}{s} \times \frac{\frac{p}{m}}{s + \frac{b}{m}} + \frac{1}{s + \frac{b}{m}} \, y_0 \end{align*}\]
\[\begin{align*} k_1 &= \lim_{s \rightarrow 0} s \, Y(s) = \frac{p}{b} \tilde{u}, & k_2 &= \!\!\!\lim_{s \rightarrow -\frac{b}{m}} \left ( s + \frac{b}{m} \right ) Y(s) = y_0 - \frac{p}{b} \tilde{u} \end{align*}\] \[\begin{align*} y(t) &= \sum_{k = 1}^2 \operatorname{Res}_{s = p_k} \left (Y(s) e^{s t} \right ) = k_1 e^{p_1 t} + k_2 e^{p_2 t} = \frac{p}{b} \tilde{u} + \left ( y_0 - \frac{p}{b} \tilde{u} \right ) e^{-\frac{b}{m} t}, \quad t > 0 \end{align*}\]
Split \(F\) as \(F_1 + F_2\) where \(F_1\) is a constant and \(F_2\) is strictly proper, e.g. \[\begin{align*} F(s) &= \frac{s}{s + 1} = F_1(s) + F_2(s), & F_1(s) &= 1, & F_2(s) &= - \frac{1}{s + 1} \end{align*}\]
\[\begin{align*} F(s) \, e^{s t} &= \frac{G(s)}{(s - s_k)^m}, & G(s) &= (s - s_k)^m F(s) \, e^{s t}, & G(s_k) &\neq 0, & m &\geq 2 \end{align*}\]
\[\begin{align*} \operatorname{Res}_{s = p_k} \left (F(s) e^{s t} \right ) = \frac{G^{(m-1)}(p_k)}{(m-1)!} = & \left ( k_{k,1} t^{m-1} + k_{k,2} t^{m-2} + \cdots + k_{k,m} \right ) e^{p_k t} \\ k_{k,j} &= \frac{1}{(m-j)!(j-1)!} \lim_{s \rightarrow p_k} \frac{d^{j-1}}{d s^{j-1}} (s - p_k)^{m} F(s) \end{align*}\]
\[\begin{align*} \bar{y}(t) &= \mu \, t \, 1(t), & \bar{Y}(s) &= \frac{\mu}{s^2} \end{align*}\]
\[\begin{align*} Y(s) &= H(s) \bar{Y}(s) = \frac{b_1}{s + a_1} \times \frac{\mu}{s^2}, & a_1 &= \frac{b}{m} + \frac{p}{m} K, & b_1 &= \frac{p}{m} K \end{align*}\]
\[\begin{align*} k_1 &= \lim_{s \rightarrow -a_1} ( s + a_1 ) Y(s) = \frac{\mu \, b_1}{a_1^2}, & k_{2,1} &= \lim_{s \rightarrow 0} s^2 Y(s) = \frac{\mu \, b_1}{a_1}, & k_{2,2} &= \lim_{s \rightarrow 0} \frac{d}{d s} s^2 Y(s) = - \frac{\mu \, b_1}{a_1^2} \end{align*}\] \[\begin{align*} y(t) &= \sum_{k = 1}^2 \operatorname{Res}_{s = p_k} \left (Y(s) e^{s t} \right ) = \frac{\mu \, b_1}{a_1^2} \left [ e^{-a_1 t} + a_1 \, t - 1 \right ], \quad t \geq 0 \end{align*}\]
\[\begin{align*} | u(t) | &\leq M_u < \infty & & \implies & | y(t) | &\leq M_y < \infty \end{align*}\]
\[\begin{align} \|g\|_1 := \int_{0^-}^\infty |g(\tau)| \, d \tau < M_g < \infty \end{align}\]
\[\begin{align*} |y(t)| &= \int_{0^-}^t |g(\tau)| |u(t - \tau)| \, d \tau \leq M_u \int_{0^-}^t |g(\tau)| \, d \tau \leq M_y, \quad M_y = M_u M_g < \infty \end{align*}\]
\[\begin{align*} | u(t) | &\leq M_u < \infty & & \implies & | y(t) | &\leq M_y < \infty \end{align*}\]
\[\begin{align} \|g\|_1 := \int_{0^-}^\infty |g(\tau)| \, d \tau < M_g < \infty \end{align}\]
\[\begin{align*} u_T(t) &= \begin{cases} \operatorname{sign}(g(T - t)), & 0 \leq t \leq T \\ 0, & t < 0 \text{ or } t > T \end{cases} \end{align*}\] is such that \(|u_T(t)| \leq 1\) and \[\begin{align*} y_T(T) &= \int_{0^-}^T g(T - \tau) \, u_T(\tau) \, d \tau = \int_{0^-}^T |g(\tau)| \, d \tau \rightarrow \|g\|_1 \text{ for } T \text{ large } \end{align*}\]
\(G(s)\) has no poles on the imaginary axis or on the right-hand side of the complex plane
One side is easy: because \(|e^{-s t}| \leq 1\) for all \(\operatorname{Re}(s) \geq 0\) \[\begin{align*} |G(s)| = | \mathcal{L} \{ g(t) \} | = \left | \int_{0^-}^\infty g(t) \, e^{-s t} \, dt \right | \leq \int_{0^-}^\infty |g(t)| |e^{-s t}| \, dt \leq \int_{0^-}^\infty |g(t)| \, dt = \|g\|_1 \end{align*}\] hence \(G\) has no poles such that \(\operatorname{Re}(s) \geq 0\) because \(G\) is bounded in \(\operatorname{Re}(s) \geq 0\)
\(G(s)\) has no poles on the imaginary axis or on the right-hand side of the complex plane
The other side is more complicated, unless \(G\) is rational. In this case, if \(G\) is strictly proper and with simple poles \[\begin{align*} |g(t)| &\leq \sum_{k = 1}^{n} |k_k| |e^{p_k t}| = \sum_{k = 1}^{n} |k_k| e^{\operatorname{Re}(p_k) t}, & t &> 0 \end{align*}\] and because \(\operatorname{Re}(p_k) < 0\) \[\begin{align*} \| g \|_1 \leq \int_{0^-}^{\infty} |g(t)| \, dt \leq \sum_{k = 1}^{n} |k_k| \int_{0^-}^{\infty} e^{\operatorname{Re}(p_k) t} \, dt = \sum_{k = 1}^{n} \frac{|k_k|}{-\operatorname{Re}(p_k)} < \infty \end{align*}\] Conclusion is the same if \(G\) is proper and/or has repeated poles
\[\begin{align*} Y(s) &= Y_{-}(s) + Y_{0}(s) + Y_{+}(s) \end{align*}\]
\[\begin{align*} y(s) &= y_{-}(s) + y_{0}(s) + y_{+}(s) \end{align*}\]
\[\begin{align*} G(s) \end{align*}\]
\[\begin{align} u(t) &= A \cos(\omega t + \phi) \end{align}\]
\[\begin{align} y_{\mathrm{ss}}(t) &= A |G(j \omega)| \cos(\omega t + \phi + \angle G(j \omega)) \end{align}\]
Not usually true for time-varying linear systems!
System behavior can be “plotted”: Bode plots
\[\begin{align*} L_0 &= \frac{67}{s (s^2 + 49)}, & L_\pi &= \frac{67}{s (s^2 - 49)} \end{align*}\]
\(20 \log_{10} |G(j \omega)|\) versus \(\log_{10} \omega\)

\(\angle G(j \omega)\) versus \(\log_{10} \omega\)

See Chapter 7 for much more!
\[\begin{align*} \| y \|_1 &= \int_{0^-}^{\infty} | y(t) | \, dt, & \| y \|_2 &= \left ( \int_{0^-}^{\infty} y(t)^2 \, dt \right )^{1/2}\!\!\!\!, & \| y \|_\infty &= \sup_{t \geq 0} | y(t) | \end{align*}\]
\[\begin{align*} \| y \|_\infty \leq \|g \|_1 \, \| u \|_\infty. \end{align*}\]
\[\begin{align*} \| y \|_p &\leq \|g \|_1 \, \| u \|_p, & p = 1, 2, \ldots, \infty. \end{align*}\]
\[\begin{align*} \| y \|_2^2 &= \int_{0^-}^{\infty} y(t)^2 \, dt = \int_{-\infty}^{\infty} y^*(t) \, y(t) \, dt = \frac{1}{2 \pi} \int_{-\infty}^{\infty} Y(j \omega) Y(-j \omega) \, d\omega = \frac{1}{2 \pi} \int_{-\infty}^{\infty} |Y(j \omega)|^2 \, d\omega = \| Y \|^2_2 \end{align*}\]
\[\begin{align*} \| y \|_\infty &\leq \| G \|_2 \| u \|_2, & \| g \|_2 &= \| G \|_2 \end{align*}\]
Computation can be done using residues!
\[\begin{align*} \| y \|_2 &\leq \| G \|_\infty \|u \|_2, & \| G \|_\infty &= \sup_{\omega \in \mathbb{R}} | G(j \omega) | \end{align*}\]
Value can be obtained from a Bode plot!