Maurício C. de Oliveira
Chapter 4: Feedback Analysis
linearcontrol.info/fundamentals
\[\begin{align*} g(t), \quad t \geq 0 \end{align*}\]
\[\begin{align*} y(t) &= \int_{0^-}^{\infty} g(t - \tau) \, u(\tau) \,d\tau \end{align*}\]
\[\begin{align*} G(s) = \mathcal{L} \{ g(t) \} \end{align*}\]
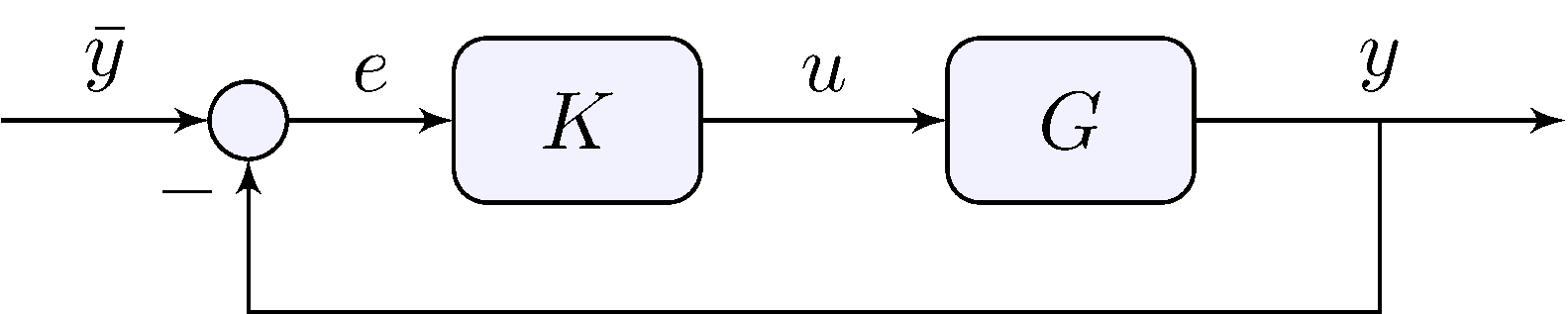
\[\begin{align*} Y(s) &= G(s) \, U(s), & Y(s) &= \mathcal{L} \{ y(t) \}, & U(s) &= \mathcal{L} \{ u(t) \} \end{align*}\]

\[\begin{align*} Y(s) &= G(s) \, U(s), & U(s) &= K(s) \, E(s), & E(s) &= \bar{Y}(s) - Y(s) \end{align*}\]
\[\begin{align*} E(s) &= S(s) \, \bar{Y}(s), & S(s) &= \frac{1}{1 + G(s) \, K(s)} \end{align*}\]
\[\begin{align*} e &= S \, \bar{y}, & S &= \frac{1}{1 + G \, K}, & \text{etc} \end{align*}\]
\[\begin{align*} G(s) = \frac{\frac{p}{m}}{s + \frac{b}{m}} \end{align*}\]
\[\begin{align*} S(s) = \frac{1}{1 + K \frac{\frac{p}{m}}{s + \frac{b}{m}}} = \frac{s + \frac{b}{m}}{s + \frac{b}{m} + K \frac{p}{m}} \end{align*}\]
\[\begin{align*} - \left ( \frac{b}{m} + \frac{p}{m} K \right ) &< 0 & &\implies & K > - \frac{b}{p} \end{align*}\]
\[\begin{align*} \bar{y}(t) &= \bar{y} \cos( \omega t + \phi), \quad t \geq 0 \end{align*}\]
\[\begin{align*} e_{\mathrm{ss}}(t) &= \bar{y} \, |S(j \omega)| \cos( \omega t + \phi + \angle S(j \omega)) & & \implies & | e_{\mathrm{ss}}(t) | &\leq | S(j \omega) | \, |\bar{y}| \end{align*}\]
\[\begin{align*} | e_{\mathrm{ss}}(t) | &\leq | S(0) | \, |\bar{y}| = \frac{ \frac{b}{m}}{\frac{b}{m} + \frac{p}{m} K} |\bar{y}| = \frac{1}{1 + \frac{p}{b} K} |\bar{y}| \end{align*}\]
Error converges to zero for large time \[\begin{align*} \lim_{t \rightarrow \infty} e(t) &= 0 \end{align*}\]
Stability of \(S\) is not enough. It is necessary that \[\begin{align*} E = S \, \bar{Y} \end{align*}\] Poles of \(\bar{Y}\) must be cancelled by zeros of \(S\)!
Let \(S = (1 + G \, K)^{-1}\) be asymptotically stable and \[\begin{align*} \bar{y}(t) = \bar{y} \cos(\omega t + \phi) \end{align*}\] If \(G \, K\) has a pole at \(s = j \omega\) then \(\lim_{t \rightarrow \infty} e(t) = 0\)
Proof: \(S\) has a zero at \(s = j \omega\)
\[\begin{align} G(s) &= \frac{1}{s A} \end{align}\]
\[\begin{align} S(s) &= \frac{1}{1 + G(s) \, K} = \frac{1}{1 + \frac{K}{s A}} = \frac{s}{s + \frac{K}{A}} \end{align}\]
Asymptotically stable for \(K > 0\)
\(S\) has a zero at zero: asymptotic tracking of step (constant) reference inputs
\[\begin{align*} G(s) = \frac{\frac{p}{m}}{s + \frac{b}{m}} \end{align*}\]
\[\begin{align*} K(s) = \frac{K}{s} \end{align*}\]
\[\begin{align*} S(s) = \frac{1}{1 + \frac{K}{s} \frac{\frac{p}{m}}{s + \frac{b}{m}}} = \frac{s\left (s + \frac{b}{m}\right )}{s^2 + \frac{b}{m} s + K \frac{p}{m}} \end{align*}\]
Asymptotically stable for \(K > 0\)
\(S\) has a zero at zero: asymptotic tracking of step (constant) reference inputs
\[\begin{align*} U(s) &= \frac{K}{s} E(s) & & \implies & u(t) &= u(0) + K \int_0^t e(\tau) \, d\tau \end{align*}\]

![]()
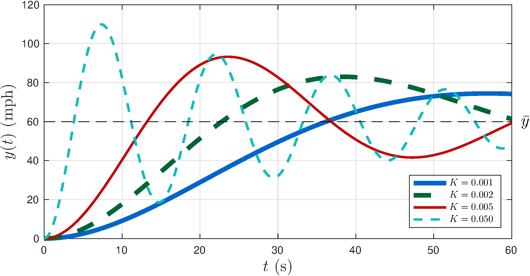
Transient response has oscilations!
\[\begin{align*} G &= \frac{N_G}{D_G}, & K &= \frac{N_K}{D_K}, & S &= \frac{1}{1 + \frac{N_G}{D_G} \frac{N_K}{D_K}} = \frac{D_G D_K}{D_G D_K + N_G N_K} \end{align*}\]
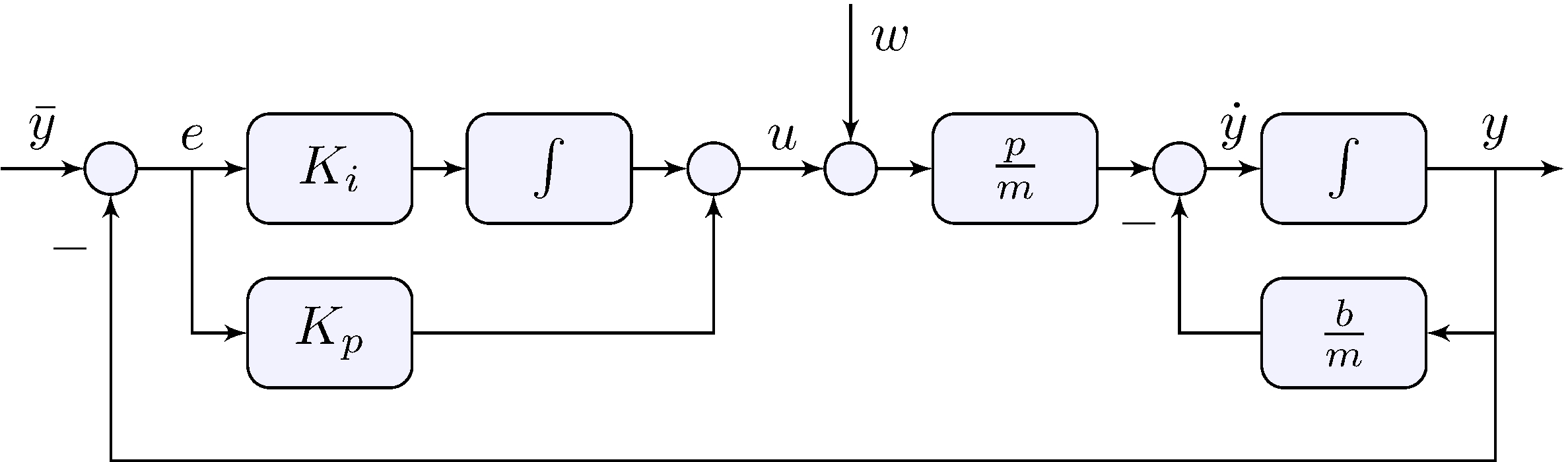
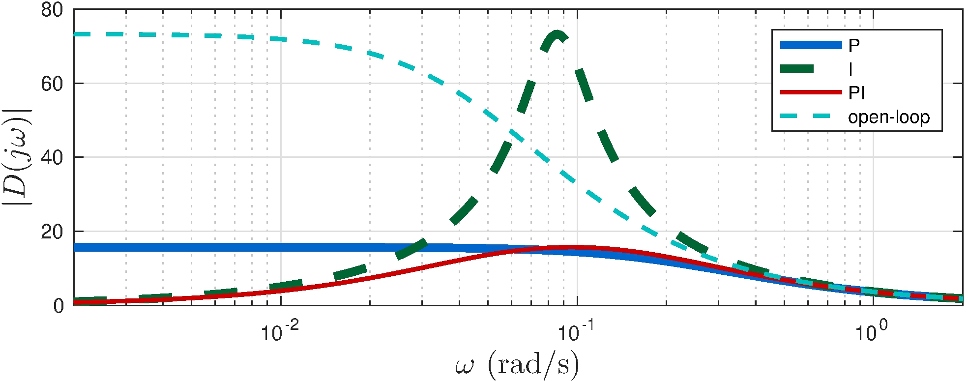
\[\begin{align} G(s) &= \frac{\left . {p} \middle / {m} \right .}{s + \left . {b} \middle / {m} \right .}, & K(s) &= K_p + s^{-1} K_i \end{align}\]
\[\begin{align*} S(s) &= \frac{1}{1 + G(s) \, K(s)} %% = \frac{1}{1 + \displaystyle\frac{\frac{p}{m} (K_p %% s + K_i)}{s \left (s + \frac{b}{m} \right )}} = \frac{s \left (s + \frac{b}{m} \right )}{s^2 + \left ( \frac{b}{m} + \frac{p}{m} K_p \right ) s + \frac{p}{m} K_i} \end{align*}\]
No complex-poles (oscillations) if \[\begin{align*} 0 < 4 \frac{p}{m} K_i &\leq \left ( \frac{b}{m} + \frac{p}{m} K_p \right )^2 \end{align*}\]
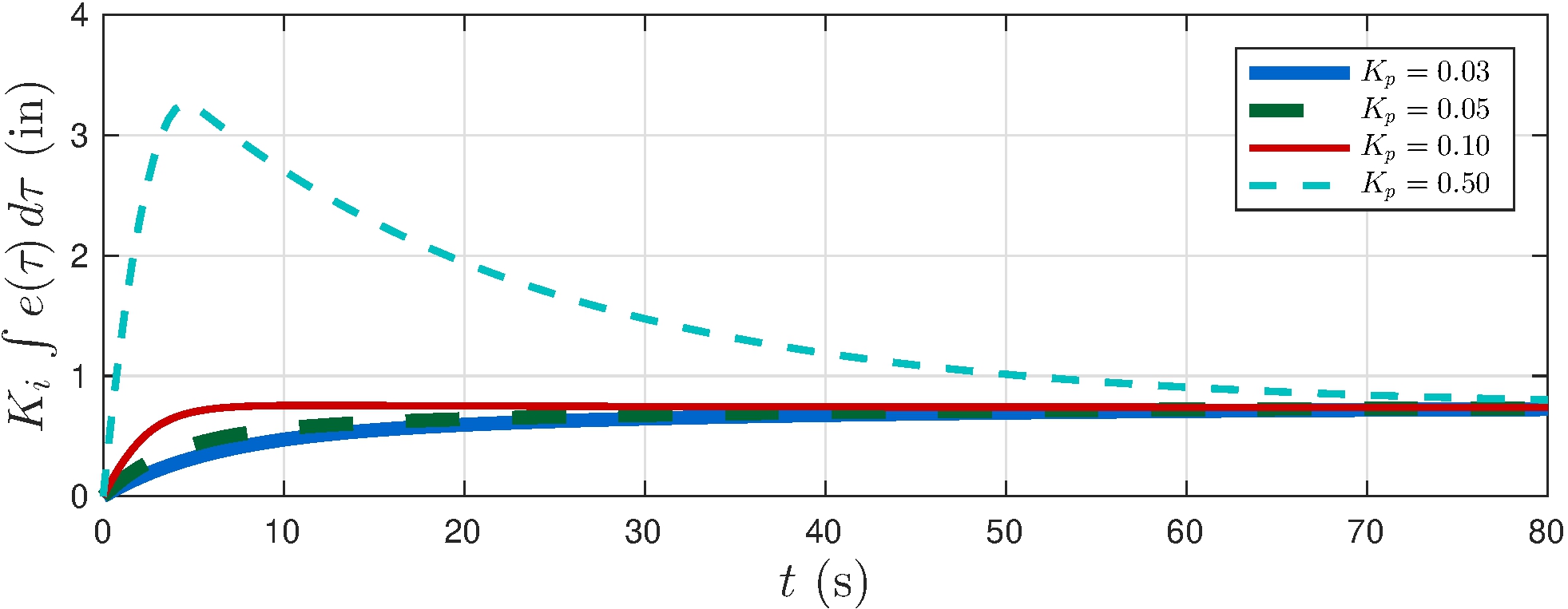
\[\begin{align*} U(s) &= \left ( K_p + \frac{K_i}{s} \right ) E(s) & & \implies & u(t) &= u(0) + K_p e(t) + K_i \int_0^t e(\tau) \, d\tau \end{align*}\]

\[\begin{align*} K_i &= \frac{b}{m} K_p, & K(s) &= K_p + \frac{K_i}{s} = K_p \frac{s + \frac{b}{m}}{s} \end{align*}\] leads to a pole-zero cancellation \[\begin{align*} G(s) \, K(s) &= \frac{\frac{p}{m}}{s +\frac{b}{m}} \times K_p \frac{s + \frac{b}{m}}{s} = \frac{\frac{p}{m} K_p}{s}, \end{align*}\]
\[\begin{align*} \label{eq:scarpipzc} S(s) &= \frac{1}{1 + G(s) K(s)} = \frac{s}{s + \frac{p}{m} K_p} \end{align*}\]
Zero at the origin: asymptotic tracking
No complex poles: no oscillations
![]()
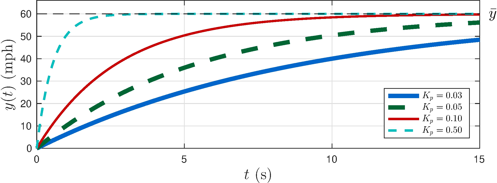
Asymptotic tracking, gone are the oscillations!
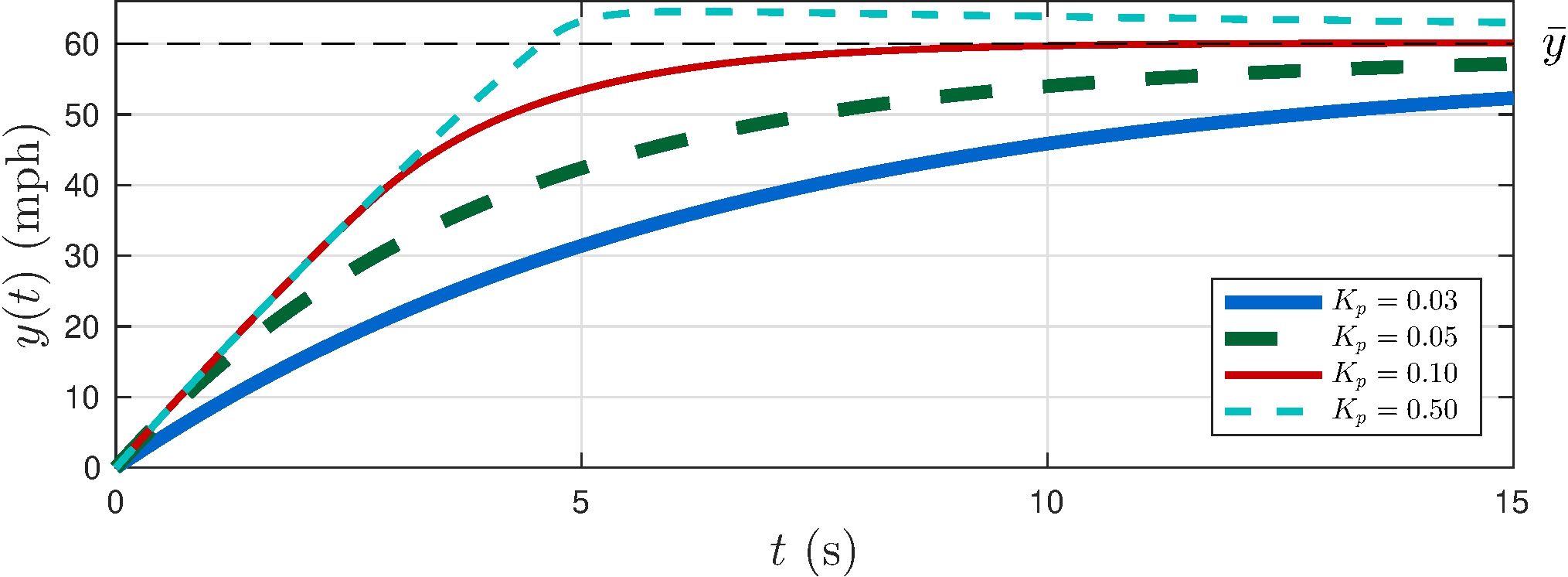
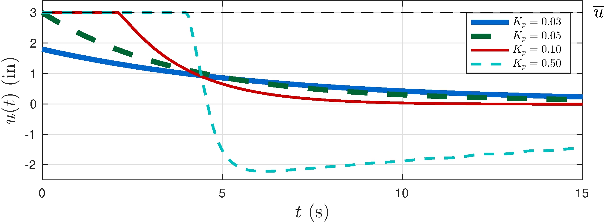
Beware of control effort: saturation occurs if \[\begin{align*} K_p > \frac{\overline{u}}{\bar{y}} = \frac{3}{60} = 0.05 \end{align*}\]
![]()
![]()
![]()
![]()

\[\begin{align*} y &= G \, (u + w), & u &= K \, \tilde{e}, & \tilde{e} &= \bar{y} - (y + v) \end{align*}\]
\[\begin{align*} y &= H \, \bar{y} - H \, v + D \, w, & u &= Q \, \bar{y} - Q \, v - H \, w \end{align*}\]
\[\begin{align*} e &= \bar{y} - y = S \, \bar{y} + H \, v - D \, w \end{align*}\]
Beware \(\tilde{e} \neq e\)!

\[\begin{align*} y &= H \, \bar{y} - H \, v + D \, w \\ u &= Q \, \bar{y} - Q \, v - H \, w \\ e &= S \, \bar{y} + H \, v - D \, w \end{align*}\]
\[\begin{align*} S &= \frac{1}{1 + G K}, & D &= \frac{G}{1 + G K} & H &= \frac{G K}{1 + G K}, & Q &= \frac{K}{1 + G K} \end{align*}\]

\[\begin{align*} S &= \frac{1}{1 + G K}, & D &= G S, & H &= G K S, & Q &= K S \end{align*}\]

\[\begin{align*} e &= S \, \bar{y} - D \, w, & D &= G S = \frac{G}{1 + G K} \end{align*}\]
Let \(S = (1 + G \, K)^{-1}\) and \(D = G S\) be asymptotically stable and \[\begin{align*} \bar{y}(t) &= \bar{y} \cos(\omega t + \phi), & w(t) &= \bar{w} \cos(\omega t + \psi) \end{align*}\] If \(K\) has a pole at \(s = j \omega\) then \(\lim_{t \rightarrow \infty} e(t) = 0\)
Proof: \(S\) and \(D\) have zeros at \(s = j \omega\)
\[\begin{align*} S(s) &= \frac{s + \frac{b}{m}}{s + \frac{b}{m} + \frac{p}{m} K}, & D(s) &= S(s) \, G(s) = \frac{\frac{p}{m}}{s + \frac{b}{m} + \frac{p}{m} K} \end{align*}\]
No asymptotic tracking, no asymptotic disturbance rejection
\[\begin{align} S(s) &= \frac{s \left ( s + \frac{b}{m} \right )}{s^2 + \frac{b}{m} s + \frac{p}{m} K}, & D(s) &= S(s) \, G(s) = \frac{\frac{p}{m} s}{s^2 + \frac{b}{m} s + \frac{p}{m} K} \end{align}\]
Asymptotic tracking and asymptotic disturbance rejection, oscillations
\[\begin{align} S(s) &= \frac{s \left ( s + \frac{b}{m} \right )}{s^2 + \frac{b}{m} s + \frac{p}{m} K}, & D(s) &= S(s) \, G(s) = \frac{\frac{p}{m} s}{s^2 + \frac{b}{m} s + \frac{p}{m} K} \end{align}\]
Asymptotic tracking and asymptotic disturbance rejection, oscillations
\[\begin{align} S(s) &= \frac{s}{s + \frac{p}{m} K_p}, & D(s) &= S(s) \, G(s) = \frac{\frac{p}{m} s}{\left ( s + \frac{b}{m} \right ) \left ( s + \frac{p}{m} K_p \right ) } \end{align}\]
Asymptotic tracking and asymptotic disturbance rejection, no oscillations

Integral controller is sensitive to disturbances at \(0.1\) rad/s
Watch out for rolling hills!

\[\begin{align*} G(s) &= \frac{1}{s A}, & K(s) &= K \end{align*}\]
\[\begin{align*} S(s) &= \frac{s}{s + \frac{K}{A}}, & D(s) &= \frac{\frac{1}{A}}{s + \frac{K}{A}} \end{align*}\]
Asymptotic tracking but no asymptotic disturbance rejection!
Pole must be at the controller for asymptotic disturbance rejection
\(D\) does not have a zero at the origin
\[\begin{align*} e &= S \, \bar{y} + H \, v, & S &= \frac{1}{1 + G K}, & H &= G K S \end{align*}\]
\[\begin{align*} S + H = 1 \end{align*}\]
\[\begin{align*} S(j \omega) + H(j \omega) = 1 \end{align*}\]
Good tracking (\(S(j\omega) \approx 0\)) means bad measurement noise rejection (\(H(j\omega) \approx 1\))
Good measurement noise rejection (\(H(j\omega) \approx 0\)) means bad tracking (\(S(j\omega) \approx 1\))
Tracking requires good sensors!
\(|S(j \omega)| + |H(j \omega)| \neq 1\): both \(S\) and \(H\) can be large at the same time!

\[\begin{align*} G &= \frac{N_G}{D_G}, & K &= G^{-1} = \frac{D_G}{N_G}, \end{align*}\]

\[\begin{align*} S, \qquad S \, G, \qquad S \, K, \qquad S \, G \, K \end{align*}\] are all asymptotically stable
Internal stability if and only if \(S\) is asymptotically stable and any pole-zero cancellation in \(G K\) is of stable poles or zeros
Proof (sketch): If \[\begin{align*} G &= \frac{(s - z)}{(s - p)} \tilde{G}, & K &= \frac{(s - p)}{(s - z)} \tilde{K}, & G K &= \tilde{G} \tilde{K}, & S &= \tilde{S} = \frac{1}{1 + \tilde{G} \tilde{K}} \end{align*}\] However \[\begin{align*} S G &= \frac{(s - z)}{(s - p)} \tilde{S} \tilde{G}, & S K &= \frac{(s - p)}{(s - z)} \tilde{K} \tilde{G} \end{align*}\] so that \(z\) and \(p\) must both have negative real part
\[\begin{align*} G(s) &= \frac{\left . {p} \middle / {m} \right .}{s + \left . {b} \middle / {m} \right. }, & K(s) &= K_p \frac{s + z}{s}, & z = \frac{K_i}{K_p} = \frac{b}{m} \end{align*}\]
\[\begin{align*} S(s) &= \frac{s}{s + \frac{p}{m} K_p}, & H(s) &= \frac{\frac{p}{m} K_p}{s + \frac{p}{m} K_p}, & Q(s) &= \frac{K_p \left ( s + \frac{b}{m} \right )}{s + \frac{p}{m} K_p}, & D(s) &= \frac{\frac{p}{m} s}{\left ( s + \frac{b}{m} \right ) \left ( s + \frac{p}{m} K_p \right ) } \end{align*}\]
Canceled pole is a zero of \(Q\) and a pole of \(D\)
![]()
\[\begin{align*} K_i &= \gamma \frac{b}{m} K_p \end{align*}\]
More to come in Chapter 6